Φυσική Θετικών Σπουδών & Σπουδών Υγείας Γ΄ τάξη Γενικού Λυκείου (ΤΕΥΧΟΣ Γ΄)
6-9 Η ΣΧΕΤΙΚΙΣΤΙΚΗ ΟΡΜΗ

Σύμφωνα με την αρχή διατήρησης της ορμής, η ορμή συστήματος δυο ή περισσότερων σωμάτων διατηρείται σταθερή, αν το σύστημα των σωμάτων είναι απομονωμένο.

Μια συνηθισμένη εφαρμογή της αρχής διατήρησης της ορμής είναι η περίπτωση της κρούσης δυο σωμάτων.

Σχ. 6.11

                                                                            Σχ. 6.11

Ας υποθέσουμε ότι δυο σώματα κινούνται παράλληλα με τον άξονα των x του συστήματος Σ με ταχύτητες υ και υ (σχ.6.10) και συγκρούονται. Μετά την κρούση τα σώματα θα έχουν ταχύτητες  υ και υ αντίστοιχα.

Σύμφωνα με την αρχή διατήρησης της ορμής θα ισχύει m1υ – m2υ = m1υ - m2υ. Οι δείκτες (π, μ) παραπέμπουν στο «αμέσως πριν» και στο «αμέσως μετά» την κρούση.

Ας παρατηρήσουμε την ίδια κρούση από ένα σύστημα αναφοράς Σ' που κινείται με ταχύτητα u ως προς το Σ. Οι ταχύτητες με τις οποίες θα αντιλαμβανόμαστε να κινούνται τα σώματα πριν και μετά την κρούση θα είναι υ', υ', υ', υ' που δίνονται από τη σχέση μετασχηματισμού ταχυτήτων του Lorentz (6.13). Αν  πολογίσουμε την ορμή του συστήματος με βάση τις τιμές αυτές, θα διαπιστώσουμε ότι για το σύστημα Σ' η αρχή διατήρησης της ορμής, με τη μορφή που γνωρίζουμε, δεν ισχύει. Όμως οι νόμοι της Φυσικής θα έπρεπε να ισχύουν με την ίδια μαθηματική μορφή για όλα τα αδρανειακά συστήματα αναφοράς.

Πρέπει, επομένως, να ορίσουμε την ορμή με τέτοιο τρόπο ώστε η αρχή διατήρησης της ορμής να ισχύει και στις περιπτώσεις στις οποίες εφαρμόζουμε τους μετασχηματισμούς Lorentz.

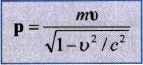
Η απαίτηση αυτή ικανοποιείται αν ορίσουμε την ορμή σώματος μάζας m που κινείται με ταχύτητα υ με τη σχέση:

Εικόνα                         (6.15)

σχετικιστικός ορισμός της ορμής)

Παρατηρήσεις
  1. 1.Με τον σχετικιστικό ορισμό της ορμής εξασφαλίζεται η ισχύς της αρχής διατήρησης της ορμής για όλα τα αδρανειακά συστήματα αναφοράς.
  2. 2. Όταν η ταχύτητα του σώματος ν είναι πολύ μικρότερη του c προκύπτει p ≈ mυ
    Βλέπουμε, δηλαδή, ότι ο προηγούμενος κλασικός ορισμός της
    ορμής δεν καταργείται, απλώς αποτελεί μια ειδική περίπτωση του σχετικιστικού ορισμού.
  3. 3. Η σχετικιστική ορμή είναι γενικά μεγαλύτερη της κλασικής.
  4. 4. Όταν η ταχύτητα του σώματος τείνει στο c η ορμή του τείνει στο άπειρο.
    (σχ. 6.12).
  5. 5. Το μέγεθος m ταυτίζεται με αυτό που λέμε μάζα στη νευτώνεια μηχανική και εκφράζει και εδώ την αδράνεια του σώματος. Στη σχετικότητα το ονομάζουμε μάζα ηρεμίας του σώματος.
  6. 6. Εφόσον η ορμή δεν είναι πια ανάλογη της ταχύτητας και ο ρυθμός μεταβολής της ορμής, δηλαδή η δύναμη, δε θα είναι ανάλογη με το ρυθμό μεταβολής της ταχύτητας, δηλαδή την επιτάχυνση. Είναι φανερό ότι, όσο αυξάνεται η ταχύτητα ενός σώματος, η επιτάχυνση που οφείλεται σε μια δεδομένη δύναμη συνεχώς μειώνεται. Όταν η ταχύτητα του σώματος τείνει στο c η επιτάχυνσή του τείνει στο μηδέν. Αυτό σημαίνει ότι η ταχύτητα του φωτός είναι η ανώτερη δυνατή ταχύτητα στη φύση.
Σχ. 6.12 Παρατηρούμε ότι για u<<c οι δυο καμπύλες πρακτικά συμπίπτουν.

Σχ. 6.12 Παρατηρούμε ότι για u<<c οι δυο καμπύλες πρακτικά συμπίπτουν.